Interpretación de Cuadros Estadísticos
● Resuelve ejercicios de ecuaciones que se pueden convertir a cuadráticas.
1.
2.
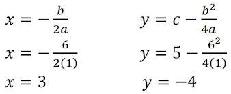
● Realice el estudio de la función y = x2 + 6x +5. Calcule el dominio, rango, puntos de
corte, vértice y gráfica.
Puntos de Corte X
Puntos de Corte Y
X=0
Dominio (f)= R
Rango (f)= (5, ∞)
● Determine el dominio y el rango de la función que muestra el crecimiento en los
ingresos del negocio para tener un control presupuestario. La gráfica que se muestra en
la figura corresponde a la vista frontal de una pista de patinaje que se desea construir
en un parque. Si la trayectoria de la pista está modelada por la función y = 1/4 x 2 + 6 −
2x, con x y y en metros, ¿cuál es la altura total h, en metros, que tendrá la pista?
Dominio (f)= R
Rango (f)= (3, ∞)
Vértice
● Realice el estudio de la función Y = 2senx











Comentarios
Publicar un comentario